القسمة الإقليدية تعميل الحدوديات
القسمة الإقليدية تعميل الحدوديات
نحسب قيمة عدد a بحدودية و نجد الناتج منعدما، نسمي a جدرا للحدودية و بالتالي قسمتها على x – a ستكون مضبوطة ( أي الباقي مساويا لصفر). في هذا الدرس سنستغل طريقة القسمة الإقليدية لتعميل حدوديات من درجات مختلفة على شكل جداء لحدوديات أبسط و من درجات أقل :

معلومات أساسية :
مثال :
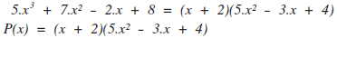
نعتبر الحدودية (P(x حيث أن : P(x) = 5.x3 + 7.x2 – 2.x + 8
بين أن 2- هو جدر للحدودية (P(x
أنجز القسمة الإقليدية ل (P(x على x + 2
إسنتتج تعميلا ل (P(x
1. بين أن 2- هو جدر للحدودية (P(x
P(-2) = 5.(-2)3 + 7.(-2)2 – 2.(-2) + 8
P(-2) = -40 + 28 + 4 + 8
P(-2) = -40 + 40
P(-2) = 0
2. القسمة الإقليدية ل (P(x على x + 2

3. إسنتتج تعميلا ل (P(x
رجـــــــــــاء : رجاءا من كل الإخوة والأخوات الكرام الذين استفادو من هذه المعلومات وبقليل من الجهد ترك تعليق أو مشاركة الموضوع عبر احدى الأزرار الثلاثة twitter أو facebook أو +google ولكم جزيل الشكر


Comments are closed.